As seen in the diagram below, Joseph is building a walkway with a width of x feet to go around a swimming pool that measures 15 feet by 9 feet. If the total area of the pool and the walkway will be 567 square feet, how wide should the walkway be?

Answers

Answer 1

The width of the walkway should be approximately 4.32 feet.

Let's call the width of the walkway "w". Then the width of the entire area (pool + walkway) will be:

15 + 2w (the original 15 feet of the pool plus the extra "w" feet of walkway on each side)

and the height of the entire area will be:

9 + 2w (the original 9 feet of the pool plus the extra "w" feet of walkway on each end)

So the total area of the entire area (pool + walkway) will be:

(15 + 2w) × (9 + 2w)

To find the width of the walkway that gives a total area of 567 square feet, we can set this expression equal to 567 and solve for w:

(15 + 2w) × (9 + 2w) = 567

Expanding the expression on the left side:

135 + 45w + 30w + 4w² = 567

Simplifying and rearranging:

4w² + 75w - 432 = 0

We can solve this quadratic equation using the quadratic formula:

w = (-b ± sqrt(b² - 4ac)) / 2a

where a = 4, b = 75, and c = -432. Plugging in these values, we get:

w = (-75 ± sqrt(75² - 4 × 4 × -432)) / 8

w ≈ 4.32 or w ≈ -25.07

Since we are looking for a width of a walkway, we should choose the positive solution:

w ≈ 4.32 feet

Therefore, the width of the walkway should be approximately 4.32 feet.

To learn more about the quadratic equation;

https://brainly.com/question/17177510

#SPJ1


Related Questions

Which statement below is true concerning the number 5/11?

Which statement below is true concerning the number 5/11?

Answers

Answer:

C.  The number 5/11 is a rational number because it is a repeating decimal.

Step-by-step explanation:

The importance of this question is to distinguish a rational number from an irrational number.

A rational number can be written as a ratio or a set of repeating decimals.

An irrational number cannot be written as a ratio and cannot be represented by repeating decimals.

So out of the four options you have, the first two, A and B, are false, C is true, and D is false since rationality doesn't have anything to do with signs.

Cheers.

What is the slope for 5x+2y=6

Answers

Answer:

The slope is -5/2 as a fraction

or -2.5 as a decimal.

Step-by-step explanation:

First we have to get it into this format y = mx + b

5x + 2y = 6 (subtract 5x on both sides)

2y = -5x + 6 (divide by 2 on both sides)

y = -5/2x + 3

The slope is -5/2 or -2.5

Hope this helps ya!!

Write the equation in tandard form for the circle paing through (–
8,2) centered at the origin

Answers

On solving the question, Since r = 10 and the center is (0, 0), the standard form equation of this circle is (\((x - 0)^2 + (y - 0)^2 = 10^2\)or just\(x^2 + y^2 = 100.\)

What is circle?

Every point in the plane that is a certain distance away from a certain point forms a circle (center). It is, thus, a curve formed by points moving in the plane at a fixed distance from a point. A circle is a straightforward circular form without edges or parts. a curved form with a closed geometry.

As standard form for a circle=  \((x - h)^2 + (y - k)^2 = r^2,\) and here (h, k) is the center and r is the radius.

\((6 - 0)2 + (8 - 0)2 = r2 -- > 62 + 82 = r2 -- > 100 = r2 -- > 10 = r.\)

Since r = 10 and the center is (0, 0), the standard form equation of this circle is (\((x - 0)^2 + (y - 0)^2 = 10^2\)or just\(x^2 + y^2 = 100.\)

To know more about circle visit:
https://brainly.com/question/29142813

#SPJ

Each student in a gymnastics class tries 20 times to do a cartwheel on the balance beam
without falling off. Their teacher records the number of times each student succeeds in the
list below. Which histogram correctly represents the set of data?
18, 4, 7, 12, 9, 16, 12, 3, 11, 10, 15, 8

Each student in a gymnastics class tries 20 times to do a cartwheel on the balance beamwithout falling

Answers

Answer:

Step-by-step explanation:

A. BECAUSE THERE IS 2 BARS WITH NUMBER OF STUDENTS AS 4

∠A and \angle B∠B are complementary angles. If m\angle A=(2x+10)^{\circ}∠A=(2x+10)
and m\angle B=(3x+15)^{\circ}∠B=(3x+15)
, then find the measure of \angle B∠B.

Answers

Answer:

Step-by-step explanation:

A and \angle BB are complementary angles. If m\angle A=(2x+10)^{\circ}A=(2x+10) and m\angle B=(3x+15)^{\circ}B=(3x+15)

Help! Attachment Below

Help! Attachment Below

Answers

Answer:

area=21 cm^2

Step-by-step explanation:

split the shape into a triangle and rectangle and count the squares to find the length of the sides

area of the rectangle=3×5

area of rectangle=15

area of triangle= 4×3

area of triangle=12

area of triangle=12÷2

area of triangle=6

area of shape=15+6

area of shape=21

An oil tanker can be emptied by the main pump in 4 hours. An auxiliary pump can empty the tanker in 9 hours.If the main pump is started at 6 PM, when should the auxiliary pump be started so that the tanker is emptied by 9 PM,The auxiliary pump should be started at

Answers

Explanation

To solve the question, we will be aware that

There are 3 hours between 6PM and 9PM ,

The main pump's emptying rate is 1/4 tanker per hour. It will be open

the entire 3 hours, so it will empty 3/4 of the tank.

this means that the auxiliary pump must empty the remaining 1/4

Thus

\(rate\text{ in tanker per hour }\times time\text{ required=}\frac{1}{4}tank\)

Thus, we will have

\(\frac{1}{4}\times3\text{ hours =45 minutes}\)

Therefore

The auxiliary pump should start by 6pm + 45 minutes = 6:45pm

how many subgroups are there of order 7 in z/28z?

Answers

There are 6 subgroups of order 7 in Z/28Z. To find them, you need to identify which elements of Z/28Z generate a group of order 7.

These elements are 1, 7, 13, 19, 25, and 27. Each element creates a subgroup of order 7. These subgroups are:

1) {1, 7, 13, 19, 25, 27, 28}
2) {1, 7, 13, 19, 25, 27}
3) {1, 7, 13, 19, 25}
4) {1, 7, 13, 19}
5) {1, 7, 13}
6) {1, 7}

To know more about subgroups  refer here:

https://brainly.com/question/30865357#

#SPJ11

Complete the equations so that the solution of the system of equations is (-3, 5)​

Complete the equations so that the solution of the system of equations is (-3, 5)

Answers

y=3 x=119292 hope this helps!

wo random samples of earnings of professional golfers were selected. one sample was taken from the professional golfers association, and the other was taken from the ladies professional golfers association. at , is there a difference in the means? the data are in thousands of dollars. use the critical value method with tables. pga lpga

Answers

in general, to perform a hypothesis test comparing the means of two independent samples using the critical value method, you would follow these steps:

State the null and alternative hypotheses. For example, the null hypothesis could be that there is no difference in means between the two populations (i.e., H0: µ1 - µ2 = 0), and the alternative hypothesis could be that there is a significant difference in means (i.e., Ha: µ1 - µ2 ≠ 0).

Determine the level of significance, α, which represents the probability of rejecting the null hypothesis when it is actually true. For example, if α = 0.05, then there is a 5% chance of making a Type I error (rejecting the null hypothesis when it is true).

Calculate the test statistic. The most common test statistic for comparing the means of two independent samples is the t-test. The formula for the t-test is:

t = (x1 - x2) / [s^2pooled/n1 + s^2pooled/n2]^0.5

where x1 and x2 are the sample means, s^2pooled is the pooled variance (calculated using the two sample variances and sample sizes), and n1 and n2 are the sample sizes.

Determine the critical value(s) from the t-distribution table based on the degrees of freedom (df) and level of significance (α). The degrees of freedom for a two-sample t-test is calculated as:

df = n1 + n2 - 2

Compare the test statistic to the critical value(s). If the absolute value of the test statistic is greater than the critical value(s), then reject the null hypothesis; otherwise, fail to reject the null hypothesis.

To learn more about variances visit:

brainly.com/question/14116780

#SPJ11

Find JL, PM, and m ZMLK.
P.
K
J
41
109°
N
M
90
L
units.
The segment JL is
The segment PM is
units.
The angle m ZMLK is
Question 2 of 20

Answers

The lengths JL and PM are the lengths that make up the triangle JMP

The length of JL is 78 unitsThe length of PM is 47.5 unitsThe measure of angle MLK is 105 degrees

How to calculate side length JL?

The side length JL is twice the side length PN.

So, we have:

JL = 2 * PN

This gives

JL = 2 * 39

JL = 78

Hence, the length of JL is 78 units

How to calculate side length PM?

The side length PM is half the side length KL.

So, we have:

PM = 0.5 * KL

This gives

PM = 0.5 * 95

PM = 47.5

Hence, the length of PM is 47.5 units

How to calculate angle MLK?

The angle MLK is congruent to the angle JMP.

So, we have:

MLK = JMP

This gives

MLK = 105 degrees

Hence, the measure of angle MLK is 105 degrees

Read more about lengths and angles at:

https://brainly.com/question/2005046

Q= (7,-1) P=. (2,4) and R= (-1,6). Write an equation that passes through line Q and the midpoint of P and R

Answers

Answer:

S=(-2,5) T=(-3,4) U=(-4,0)

The equation of the straight line passing through Q and the midpoint of the line segment PR is 12x + 13y = 71.

To solve this question, we use the principles of 2-D coordinate geometry, which is the plane consisting of all points (x,y).

The midpoint  C between two points A(x₁,y₁) and B(x₂,y₂) is defined as

C(x,y) = [(x₁+x₂)/2 , (y₁+y₂)/2]

Thus, the midpoint of the points P(2,4) and R(-1,6), labelled as M, will be

M = [(2-1)/2 , (4+6)/2]

M = [ (1/2) , 5]

Now, the equation of the line segment between two points A and B is defined as

(y-y₁)/(x-x₁) = (y₂-y₁)/(x₂-x₁)

*This is called the two-point form of a line.

Using the two points M and R through which we need the required line segment to pass, we apply the above formula to arrive at the answer.

Thus by simplifying,

(y - 5)/(x-0.5) = (-1 - 5)/(7-0.5)

(y - 5)/(x-0.5) = (-6/6.5) = [-12/13]

(y - 5) = (-12/13)(x-0.5)

(y - 5) = -12x/13 + 6/13

13y - 65 = -12x + 6

13y + 12x = 71

Hence, we can say that the equation of the line passing through the midpoint of P and R, and through Q is 12x + 13y = 71

For more on Coordinate Geometry, visit

brainly.com/question/30242573

brainly.com/question/18269861

Rahim was asked to make p the subject of this formula
Q = -7
He started his answer as follows
3Q = p - 21 hence p =
Complete Rahim's final answer.

Answers

Answer:

P =3Q +21

Step-by-step explanation:

Given: Rahim was asked to make p the subject of this formula

Q = p/3 - 7

He started his answer as follows

3Q = p - 21 hence p =

To Find, Complete Rahim's final answer.

Solution:

Q = p/3 - 7

Multiply both sides by 3

3Q = 3(p/3 - 7)

3Q = 3 × p/3 - 3 × 7

3Q = p - 21

Adding 21 both sides

3Q + 21 = p -21 +21

3Q + 21 = p

interchange sides

p = 3Q + 21

hence p =3Q +21

what is the y intercept of a line with a slope of 2 and containing the point (3,4)

Answers

The line cross the Y axis in y=-2

The equation of a line is Y=ax+b where a is the slope and b the y intercept of the line

we know that for x=3 => y=4 then we plug the values we know in the equation of the line:

\(y=ax+b=2x+b\)

now we use the point we know:

\(4=2\cdot3+b\)

then solve for b

\(b=4-6=-2\)

The the y intercept of the line is y=-2

Mane and Seth are working on a lab activity where they are tracking some leaves that are
floating past them in a rain runoff channel near their home. They have to measure how far the
leaves travel in different amounts of time. They place a long tape measure along side of the
runoff channel to measure distance A borrowed stopwatch will let them record the amount of
time. They plan to have time intervals that begin at two seconds, and increase by two's until
they get to 20 seconds. The data they recorded is below.
Which is the independent and which is the dependent variable

Answers

Answer:

Independent = time intervals

Dependant = how far the leaves travel

Step-by-step explanation:

independent = what you change

dependent = what you measure

Answer

a tape measure

Step-by-step explanation:

Plz help jfkdjdjdjdjd

Plz help jfkdjdjdjdjd

Answers

Answer:

12

Step-by-step explanation:

MARK BRAINLIEST plz

Answer is E. 38. Hope this helps!!!
Plz help jfkdjdjdjdjd

For f(x)=2x + 3
g(x) = 4x -1,
find f(g(-3))

Answers

Answer:

Step-by-step explanation:

g(-3) = 4(-3) - 1 = -12 - 1 = -13

f(-13) = 2(-13) + 3 = -26 + 3 = -23

A square-shaped notice board is of area 100 sq.Ft. If an identical rectangular chart of length 12.5 ft cover the board, then what is the breadth of the chart

Answers

Answer:

8 feets

Step-by-step explanation:

Given that:

Area of rectangular board = 100 ft²

Length if identical rectangular chart = 12.5ft

The are of a rectangle is obtained thus :

Area = Length * breadth

100 = 12.5feets * breath

The breadth = 100 ft² / 12.5 ft

The breadth of the chart = 8 feets

How do you solve a differential equation with exponential equations?

Answers

To solve a differential equation with exponential equations, start by isolating the dependent variable and any coefficients that may exist on either side of the equation. Next, take the natural logarithm of both sides of the equation and use the properties of logarithms to simplify the equation. Solve for the dependent variable. Finally, take the exponential of both sides of the equation and simplify it to get the solution.

For example, consider the differential equation dy/dx = 2y.

Isolate the dependent variable to get y = dx/2.

Then, take the natural logarithm of both sides to get ln(y) = ln(dx/2).

Use the property ln(a/b) = ln(a) - ln(b) to get ln(y) = ln(dx) - ln(2).

Solve for ln(y) to get ln(y) = ln(dx) - ln(2).

Then, take the exponential of both sides to get \(y = e^{ln(dx) - ln(2)}\) and simplify to get the solution \(y = (dx/2) e^{ln(dx)}\).

Know more about Logarithm here :

https://brainly.com/question/30976287

#SPJ11

what’s the answer of this

whats the answer of this

Answers

The slope is 3. After 1 second, the car's distance increases by 7 feet.

What is the slope-intercept form?

Mathematically, the slope-intercept form of the equation of a straight line is given by this mathematical expression;

y = mx + c

Where:

m represents the slope or rate of change.x and y are the points.c represents the y-intercept or initial value.

Based on the information provided, we have the following equation that represents the relationship between distance and time;

y = 3x + 4

At x = 1 second, the distance is given by;

y = 3(1) + 4

y = 3 + 4

y = 7 feet.

Read more on y-intercept here: brainly.com/question/6240745

#SPJ1

some easy points for you guys!

♫ = 3

☺ = 4

♫ ♫ ☺ = ??

Answers

Answer: Thx, Listen to some JuiceWRLD

Step-by-step explanation:

The Grandview high school band plans to play six pieces of music in their upcoming concert. How many ways can they manage the order of their performance?

Answers

There are 720 ways the Grandview high school band can manage the order of their performance of six pieces of music

To determine the number of ways the Grandview high school band can manage the order of their performance of six pieces of music, we need to find the number of permutations of six objects taken six at a time.

The following is the formula for the number of permutations of n objects taken r at a time:

P(n, r) = n! / (n - r)!

In this case, we need to find P(6, 6), which is:

P(6, 6) = 6! / (6 - 6)!

= 6! / 0!

= 6 x 5 x 4 x 3 x 2 x 1

= 720

Therefore, there are 720 ways the Grandview high school band can manage the order of their performance of six pieces of music.

Learn more about Permutation here

https://brainly.com/question/15529915

#SPJ4

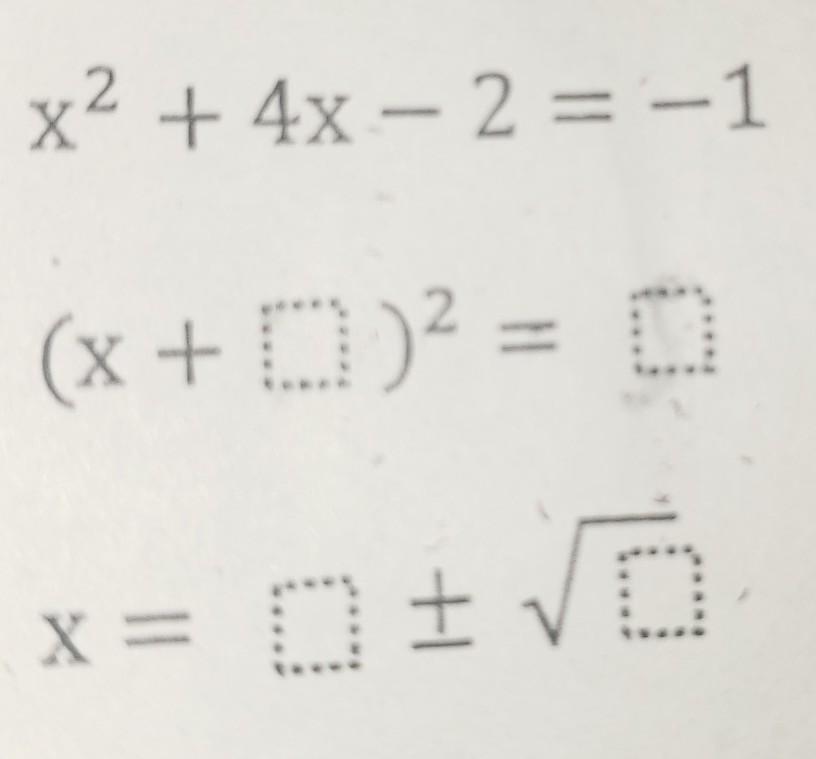
x2 + 4x -2 = -1
can someone solve this for me please

x2 + 4x -2 = -1can someone solve this for me please

Answers

I think this might be it. Hope it helps..
x2 + 4x -2 = -1can someone solve this for me please

Lena built 3 wooden toys. Each toy had a mass of 5/6 kilograms.
What was the total mass of the toys that she built?

Answers

Answer:

2.5 kilograms

Step-by-step explanation:

3 x 5/6 = 2.5

the poisson distribution is applied to events for which the probability of occurrence over a given span of time, space, or distance is very small.truefalse

Answers

The Poisson distribution is applied to events where the probability of occurrence of a certain number of events in a fixed interval of time, space, or distance is small but not necessarily "very small". False.

The Poisson distribution is used to model events that occur randomly and independently over a continuous or discrete interval of time, space, or distance, such as the number of phone calls received at a call center in an hour, the number of cars passing through a toll booth in a given time period, or the number of emails received per day. The Poisson distribution is characterized by a discrete probability mass function that describes the probability of a certain number of events occurring in a given interval, and it is widely used in probability theory and statistics for modeling events with low to moderate occurrence rates.

Learn more about “  probability of occurrence  “ visit here;

https://brainly.com/question/28320298

#SPJ4

The poisson distribution is applied to events for which the probability of occurrence over a given span of time, space, or distance is very small.

Given statement is False.

Because, The Poisson distribution is applied to events for which the probability of occurrence over a given span of time, space, or distance is not necessarily very small, but rather where the events occur randomly and independently at a constant average rate.

The Poisson distribution models the number of events that occur in a fixed time interval or within a certain area or volume of space, assuming that the events occur independently of each other and at a constant average rate. It is used in many fields, such as biology, physics, economics, and engineering, to model the occurrence of rare or common events.

The Poisson distribution has several important properties, including:

Its mean is equal to λ, and its variance is also equal to λ.

It is a discrete distribution, meaning that it models only whole numbers of events.

It is often used to model rare or unusual events, but can also be used for events that occur frequently, as long as they occur independently at a constant average rate.

For similar question on poisson distribution.

https://brainly.com/question/9123296

#SPJ11

Pls help what is wrong with my answer? Write the correct amswer pls

Pls help what is wrong with my answer? Write the correct amswer pls

Answers

The simplified form of the expression (m - 3n)(m + 2n) - m(m - n) is - 6n².

How to simplify an expression?

In maths, an expression is a combination of numbers, variables, functions (such as addition, subtraction, multiplication or division etc.).

Therefore, let's simplify the expression as follows:

(m - 3n)(m + 2n) - m(m - n)

Let's open the first two bracket

(m - 3n)(m + 2n) = m² + 2mn - 3mn - 6n²

m² + 2mn - 3mn - 6n² = m² - mn - 6n²

Therefore,

m² - mn - 6n² - m(m - n)

m² - mn - 6n² - m² + mn

combine like terms

m² - m² - mn + mn - 6n² = - 6n²

learn more on simplify expression here: https://brainly.com/question/18077352

#SPJ1

Write the equation of the line with slope 2/3 passing through (6,5) in slope-intercept form.

Answers

Answer:

2 = (2/3)*(6)+b

2 = 4+b

b= -2

so slope intercept form is y = (2/3)x -2

To find the point slope form, simply plug in m and the point given.

y-2 = (2/3)*(x-6)

Step-by-step explanation:

Which figures will have a volume that is greater than 100 cubic units? Select two options. a rectangular prism with dimensions of 4 by 5 by 4 a rectangular prism with dimensions of 2 by 12 by 6 a rectangular prism with dimensions of 1.5 by 8 by 8 a triangular prism that is 6 long and has a triangular face with a base of 4 and a height of 12 a cube with side length 4.

Answers

Answer:

It is B and D

Aiden invested $98,000 in an account paying an interest rate of 2 % compounded
continuously. Autumn invested $98,000 in an account paying an interest rate of 2%
compounded quarterly. After 11 years, how much more money would Autumn have in
her account than Aiden, to the nearest dollar?

Answers

Answer:

Aiden would have $67 more than Autumn.

Step-by-step explanation:

Aiden compounded continuously, which uses the formula: \(P(t)=P_oe^r^t\)

Plugging in what we know about Aiden's investment: \(P(11)=98000e^0^.^0^2^*^1^1\)

That gives us: 122115.5196

Autumn invested using regular compound interest, which has the formula: \(A=P(1+\frac{r}{t})^n^t\)

Since Autumn's investment is getting compounded quarterly, n=4 because it gets compounded 4 times a year.

Plug in Autumn's investment: \(A=98000(1+\frac{0.02}{4})^4^*^1^1\)

That gives us: 122048.5974

Now just subtract the two and round to the nearest dollar:

\(122115.5196-122048.5974=66.92215187\)

OR

$67. Aiden would have $67 more than Autumn after 11 years.

Find EF if EM= x^2+25 and MF = 10x

Answers

Answer:

x^2 + 10x + 25; (x + 5)^2.

Step-by-step explanation:

When we're talking about line segments, we just have to find the sum of the two parts of the line segment to find the value of the whole. In this case, we have x^2 + 25, and 10x. So, we add them together.

x^2 + 25 + 10x

= x^2 + 10x + 25

Since this can be immediately factored into (x + 5)^2, you have your answer.

Hope this helps!

Other Questions
Choose ONE industry (For example: hospitality, medical, oil and gas, technology, consumer goods, etc.). Then, examine the industry for signs of monopoly, oligopoly, or unfair market practices. Explain how the business practices are ethically questionable from any ONE ethical perspective (Utilitarianism, Rights and duties, Justice and Fairness or Ethics of Care). a mild degree of pain releases the neurotransmitter ____. a more intense pain also releases ____. Write and solve an equation to answer the question.What number is 16% of 80?show steps to get brainliest Solve the following equation6^2m 4^-m (3^m)^2 Using this figure, B' is the image of point B.TrueFalse Aydame con estos por favor! Evaluate 4.8 (2.5 6.3) using any strategy of your choice. A sports store is having a 20% off sale on skis. The original price of the ski is $560.00The tax rate is 8.5%. What is the total cost of the skis? i need HELP before 12 Convert the complex number z = 9i to polar form. A boat travels 62 miles in 4 hours. What is the distance it travelled? 248mph*Include the number and the unit autonomic reflexes enable the ans to control what kinds of visceral functions? check all that apply. When mountain climbers purchase clothing for scaling mount everest, their purchases are primarily addressing __________ needs. lee is interested in developing a program that applies reinforcement theory in his organization. this is known as ___________. help me out please please please please The speed of a 500 g cricket ball changes from 10m/s to 30m/s in just 7 seconds. What is the force acting on the cart? dynamic pricing is typically used for pricinggroup of answer choicesproducts and services that cannot be purchased in a retail store.the very latest items such as new season fashions.time-sensitive items such as airline seats.high demand products or services that are expected to sell out quickly.electronic services such as computer repair. a prophet who predicted a time when god would pour out his spirit upon all flesh; st. peter told the crowds at pentecost that what was predicted had come to pass: if ABC = DEC, angle B = 2x, angle C = 48, and angle D = 74. x=? - Olu has 2x oranges and Umar has 4 oranges less than Olu. How many oranges do they have altogether?